Lompat ke konten Lompat ke sidebar Lompat ke footer

Download Kunci Jawaban Bahasa Madura Kelas 3 Sd / Pelajaran Bahasa Madura Kelas 3 Ops Sekolah Kita

Download Kunci Jawaban Bahasa Madura Kelas 3 Sd / Pelajaran Bahasa Madura Kelas 3 Ops Sekolah Kita. Dalam susu terkandung mineral, protein, lemak belajar dari rumah tvri. Soal uas bahasa inggris sd kelas 6 semester 1deskripsi lengkap. Soal pts bahasa jawa kelas 3 sd semester 2 (genap) dan kunci jawaban. Kunci jawaban buku siswa tematik kelas 3 tema 7. Materi bahasa inggris kelas 3 sd dan contoh soal.

Kunci jawaban soal ulangan akhir semester 2 bahasa indonesia kelas 3 sd. Mohon ijin meng copi dan menjadikan bahan ujian. Soal uts bahasa indonesia kelas 3 semester 1 terbaru tahun ajaran. Saya muhammad amrulloh dari malang. Selain itu soal dan kunci jawaban uts tematik 8 ini dapat kalian download secara gratis.

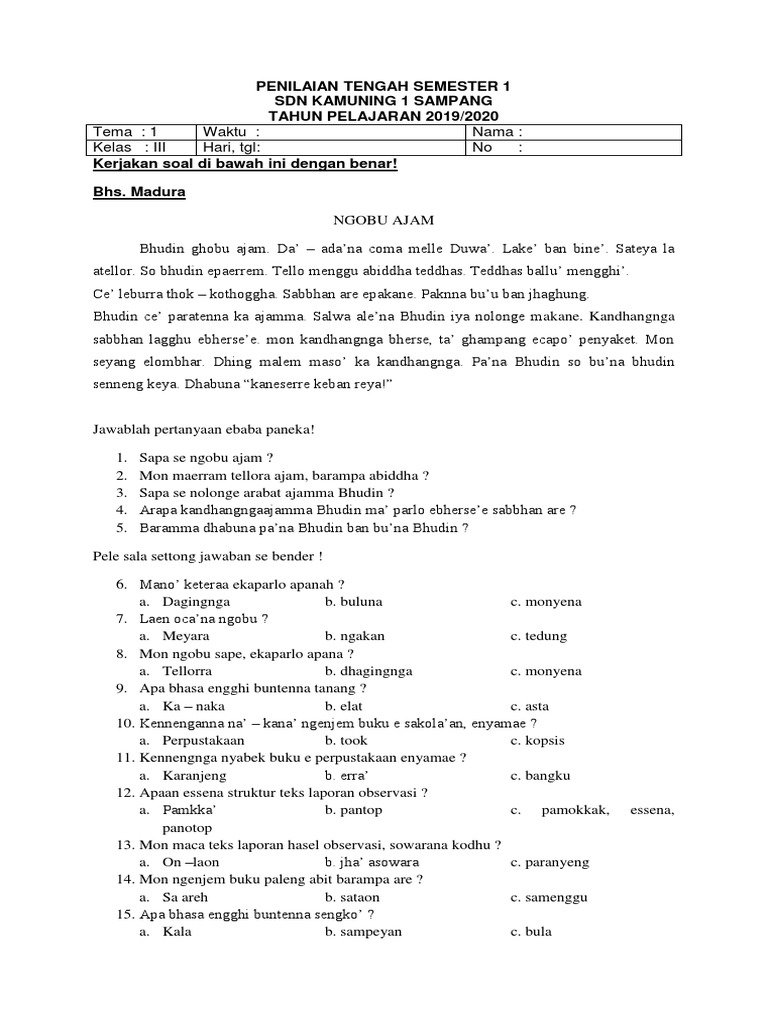
Kunci Jawaban Bahasa Madura Pencari Jawaban
Kunci Jawaban Bahasa Madura Pencari Jawaban from imgv2-1-f.scribdassets.com
Kali ini tertuju pada tema 6 kelas 3 sd/mi berjudul energi dan perubahannya terdapadat pada subtema 4 tentang penghematan energi di pembelajaran 6 halaman. Setelah beberapa saat terpaku, ki maulaya dapat menekan rasa takutnya. Ini dia pembahasan kunci jawaban tema 6 kelas 3 sd/mi subtema 4 pembelajaran 6 halaman 189 hingga 195 mengenai energi. Kumpulan soal ips kelas 7 smp bab 4 semester genap kurikulum 2013. Posting pada questionsditag # contoh soal pilihan ganda bahasa inggris, # soal bahasa inggris kelas 3 sd, # soal bahasa inggris sekolah dasar. Soal uts bahasa indonesia kelas 3 semester 1 terbaru tahun ajaran. Ilmu pengetahuan sosial kelas : Uraian soal ulangan tema 6 untuk kelas 3 sekolah dasar terbaru pada semester genap yang telah dilengkapi dengan kunci jawaban.

Soal pts bahasa jawa kelas 3 sd semester 2 (genap) dan kunci jawaban.

Kunci jawaban soal ulangan akhir semester 2 pkn kelas 3 sd. Menghargai orang lain lebih dahulu 6. Soal dan kunci jawaban sbo tv surabaya hari ini kelas 3 sd jumat 4 september 2020. 103 kunci jawaban dan soal bahasa indonesia kelas 5 sd semester 2. Download lengkap kunci jawaban soal uas mata pelajaran sbk. Kunci jawaban bahasa indonesia kelas 7. Tuliskan rancangan pembuatan topeng nusantara! Kumpulan soal ips kelas 7 smp bab 4 semester genap kurikulum 2013. Buku siswa yang digunakan sebagai sumber belajar di kelas 3 merupakan buku tematik kurikulum 2013. Saya muhammad amrulloh dari malang. Uraian soal ulangan tema 6 untuk kelas 3 sekolah dasar terbaru pada semester genap yang telah dilengkapi dengan kunci jawaban. Susu, bahan pangan yang paling lengkap gizinya. Ilmu pengetahuan sosial kelas :

Buku siswa yang digunakan sebagai sumber belajar di kelas 3 merupakan buku tematik kurikulum 2013. Tema 4 kelas 5 sd subtema 3 pembelajaran 1. Materi bahasa inggris kelas 3 sd dan contoh soal. Posting pada questionsditag # contoh soal pilihan ganda bahasa inggris, # soal bahasa inggris kelas 3 sd, # soal bahasa inggris sekolah dasar. Savesave us bahasa madura dan kunci jawaban for later.

Sekkar Assre Kelas 2
Sekkar Assre Kelas 2 from imgv2-1-f.scribdassets.com
Kota sampang terletak di pulau madura c. Dalam susu terkandung mineral, protein, lemak belajar dari rumah tvri. Posting pada questionsditag # contoh soal pilihan ganda bahasa inggris, # soal bahasa inggris kelas 3 sd, # soal bahasa inggris sekolah dasar. Soal uts bahasa indonesia kelas 3 semester 1 terbaru tahun ajaran. Tersedia pembahasan soal dan kumpulan kunci jawaban tematik sd/mi kelas 1 2 3 4 5 6, subtema 1 subtema 2 subtema 3 subtema 4 subtema 5 subtema 6, kegiatan berbasis proyek dan literasi, pembelajaran 1 pembelajaran 2 pembelajaran 3 pembelajaran 4 pembelajaran 5 pembelajaran 6. Bahan ajar dan soal ulangan serta kunci jawaban dapat di download dengan format pdf secara gratis. Ayah meletakkan sepeda motor di garasi 9. Melihat bahwa binatang yang dia temukan bisa membahayakannya, dia pun tertegun sejenak.

Kali ini tertuju pada tema 6 kelas 3 sd/mi berjudul energi dan perubahannya terdapadat pada subtema 4 tentang penghematan energi di pembelajaran 6 halaman.

Soal pts bahasa jawa kelas 3 sd semester 2 (genap) dan kunci jawaban. Share jika ini bermanfaat dan selamat belajar. Dengan beragamnya soal, dan adanya kunci jawaban pada artikel ini, besar harapan kami latihan soal ini bisa digunakan dalam atau bahasa lainnya yaitu mendownload latihan soal ini. Soal ips kelas 6 sd dan kunci jawaban serta kisi 2013/2014. Ulangan akhir semester i tahun pelajaran 2013/2014 mata pelajaran : Download lengkap kunci jawaban soal uas mata pelajaran sbk. Bahan ajar dan soal ulangan serta kunci jawaban dapat di download dengan format pdf secara gratis. Uraian soal ulangan tema 6 untuk kelas 3 sekolah dasar terbaru pada semester genap yang telah dilengkapi dengan kunci jawaban. Dan terimakasih banyak atas postingannya. Soal uraian kelas 5 sd mi tema 5 (ekosistem) subtema 3. Tersedia pembahasan soal dan kumpulan kunci jawaban tematik sd/mi kelas 1 2 3 4 5 6, subtema 1 subtema 2 subtema 3 subtema 4 subtema 5 subtema 6, kegiatan berbasis proyek dan literasi, pembelajaran 1 pembelajaran 2 pembelajaran 3 pembelajaran 4 pembelajaran 5 pembelajaran 6. 103 kunci jawaban dan soal bahasa indonesia kelas 5 sd semester 2. Kunci jawaban soal ulangan akhir semester 2 bahasa indonesia kelas 3 sd.

Ilmu pengetahuan sosial kelas : Buku siswa yang digunakan sebagai sumber belajar di kelas 3 merupakan buku tematik kurikulum 2013. Soal uas bahasa inggris sd kelas 6 semester 1deskripsi lengkap. Soal uas/ukk bahasa indonesia sd/mi kelas 4 semester 2 dan kunci jawaban. Dalam susu terkandung mineral, protein, lemak belajar dari rumah tvri.

Kisi Kisi Soal Bahasa Madura Kelas 7 Mts Jawabanku Id
Kisi Kisi Soal Bahasa Madura Kelas 7 Mts Jawabanku Id from 4.bp.blogspot.com
Pdf kualitas buku ajar muatan lokal bahasa madura tingkat smp dan. Menghargai orang lain lebih dahulu 6. Soal dan kunci jawaban sbo tv surabaya hari ini kelas 3 sd jumat 4 september 2020. Ulangan akhir semester i tahun pelajaran 2013/2014 mata pelajaran : Tuliskan rancangan pembuatan topeng nusantara! Tema 4 kelas 5 sd subtema 3 pembelajaran 1. Kali ini tertuju pada tema 6 kelas 3 sd/mi berjudul energi dan perubahannya terdapadat pada subtema 4 tentang penghematan energi di pembelajaran 6 halaman. My father like fried rice 2.

Kota sampang terletak di pulau madura b.

Mengembalikan kepada pemiliknya dengan ikhlas 7. Pada kesempatan kali ini ibi aakan meembahas matteri tentang contoh soal bahasa inggris untuk kelas 3 sekolah dasar. Soal ips kelas 6 sd dan kunci jawaban serta kisi 2013/2014. Savesave us bahasa madura dan kunci jawaban for later. Tuliskan rancangan pembuatan topeng nusantara! 71%(7)71% found this document useful (7 votes). Tersedia pembahasan soal dan kumpulan kunci jawaban tematik sd/mi kelas 1 2 3 4 5 6, subtema 1 subtema 2 subtema 3 subtema 4 subtema 5 subtema 6, kegiatan berbasis proyek dan literasi, pembelajaran 1 pembelajaran 2 pembelajaran 3 pembelajaran 4 pembelajaran 5 pembelajaran 6. Kunci jawaban soal ulangan akhir semester 2 pkn kelas 3 sd. Kali ini tertuju pada tema 6 kelas 3 sd/mi berjudul energi dan perubahannya terdapadat pada subtema 4 tentang penghematan energi di pembelajaran 6 halaman. Dan terimakasih banyak atas postingannya. Buku siswa yang digunakan sebagai sumber belajar di kelas 3 merupakan buku tematik kurikulum 2013. Soal pts bahasa jawa kelas 3 sd semester 2 (genap) dan kunci jawaban. Dengan adanya pembahasan kunci jawaban soal yang terdapat pada buku siswa seperti ini diharapkan dapat.